Монтаж
Ознакомившись с тем, что такое перемычки на газобетон и глубина опирания, перейдем к непосредственному процессу их монтажа.
Последовательность действий при установке газобетонных U-блоков
Подобные балки являются самыми распространенными в последнее время, так как процесс укладки готового заводского изделия довольно прост. Кроме этого, мастерам удается сохранить непрерывность кладки, получая при этом идеально ровную поверхность. Технология используется для усиления проемов до трех метров, работы заключаются в следующем:
- Изготавливаются подпорки для перемычки, чтобы она не изогнулась под весом бетона. Для этого устанавливается доска по длине верхней кладки, которая подпирается деревянными брусками, кирпичами или металлическими трубами.
- Укладываются блоки таким образом, чтобы толстая стенка выходила наружу, а стрелка указывала наверх. Для правильной ориентации используем маркировку. Очень удобно, если толщина бруса соответствует толщине кладки, а его высота совпадает с высотой блока. При необходимости, для строения домов с толстыми стенами могут одновременно укладываться несколько балок. Для поднятия изделий, вес которых колеблется в пределах 100-200 кг, применяется подъемник.
- Проклеиваются все швы, в том числе и горизонтальные.
- Блоки с внешней стороны утепляются минеральной ватой или листами пенополистирола.
- Над проемом устраивается каркас из арматуры и скрепляющей проволоки. Предварительно он покрывается составом против коррозии.
- В блоки заливается бетон М200 до уровня их граней. Выравниваем и уплотняем состав.
- После высыхания бетона, убираем доски и подпорки.
Этапы работ при усилении проема изделием из монолитного бетона
Заливка бетонной смесью является, как уже было сказано, самым дешевым способом обустройства будущего окна. Соблюдаем пошаговую инструкцию:
- Укладываем блочный ряд, предусматривая необходимое пространство с обеих сторон проема.
- Монтируем съемную опалубку из подручных материалов (фанеры, брусьев и т.д.),
- Укрепляем ее через каждые 50 см элементами в вертикальном и горизонтальном направлении.
- С наружной части стены закрепляем утеплитель.
- Устанавливаем каркас из арматуры. Для небольших сооружений возможно применение стальной армирующей сетки.
- Опалубка заливается раствором М200, М300.
- Состав следует утрамбовать и выровнять.
- Снимаем элементы опалубки после высыхания раствора.
Монтаж перемычек из уголков
Специалисты советуют использовать металлические уголки для усиления оконных конструкций до 1,2 метра в том случае, если высота последующей кладки составляет не менее двух третей ширины проема. При соблюдении данного требования, поступаем следующим образом:
- Выпиливаем пазы для уголков с отступом от краев, примерно на 10-13 см.
- Обрабатываем металлическую конструкцию составом против коррозии, оборачиваем ее штукатурной сеткой.
- Убеждаемся, что изделие упирается на стены.
- Укладываем уголки с внутренней и наружной стороны.
Наряду с данным методом, армирование также с успехом применяется для усиления нешироких проемов. Использование газобетонных или железобетонных балок в этих случаях не оправдано. Для армирования одного проема используются четыре прутика диаметром 10 мм. Стержни укладываются в отверстия, которые затем заполняются клеем или раствором. На закрепленные прутья далее укладываются блоки.

Укрепление проема – процесс, требующий определенных знаний и навыков
Чтобы обеспечить надежность и долговечность конструкции, важно правильно выполнить расчеты и последовательно произвести описанные действия
Заводские решения
Технология применения перемычек в частном домостроительстве имеет несколько принципиальных отличий от монтажа, принятого в современном и массовом строительстве с использованием ячеистых газобетонов. В настоящее время используется несколько видов перемычек, которые отличаются конструктивными особенностями и правилами применения.
Готовый вариант армированной газосиликатной перемычки по ГОСТ

Готовые заводские газосиликатные (газобетонные) перемычки являются обычными балками из газобетона с прямоугольным сечением и внутренним каркасом в виде арматуры, покрытой специальным антикоррозионным составом. Статья по теме: Как закрепить термометр на пластиковое окно
Стрелки на элементе указывают правильное направление выполнения монтажа.
Основными преимуществами являются:
- правильно армированные газобетоны не растрескиваются, не «плывут» и не разрушаются в процессе длительной эксплуатации;
- газобетонные перемычки относятся к высокопрочным конструкциям с малым весом, не оказывающим дополнительной нагрузки на возведенные стены и фундаментное основание;
- ячеистая структура газобетонной перемычки идентична структуре строительных блоков, поэтому не вызывает снижения показателей тепловой эффективности, и в результате не потребуется выполнять дополнительное утепление.
Основные размеры газосиликатных перемычек:
- Высота — 124 мм;
- Ширина — 115 мм, 150 мм, 175 мм;
- Длина — 1300-3000 мм.
Уточняйте на сайте производителей.
Конструкция из U-блоков

Наиболее популярным вариантом является обустройство сборно-заливных перемычек над окнами в стенках из ячеистого газобетона с несъемной опалубкой на основе U-образных элементов.
Железобетонные перемычки

Эти заводские изделия представляют собой балки из бетона с арматурой внутри.
По теплопроводности бетон заметно уступает газосиликату.
Если планируется утепление стен дома минеральной ватой, то эти балки использовать можно.
Но для стен без утеплителя железобетон будет являться мостиком холода.
В этом случае перемычки из газобетона, предложенные в первом варианте, смотрятся лучше.
Как утеплить перемычки в кирпичной стене
Обычно утепление финского фундамента, отмостки и других бетонных конструкций проводится снаружи. Дело в том, что при утеплении перемычки в кирпичной стене со стороны теплого помещения, конструкция все равно будет промерзать. И тогда появляется опасность появления конденсата на откосах. Но и внутренняя отделка утеплителем допускается, при невозможности провести работы с улицы.
Как утеплить перемычки над дверью
Проблема теплоизоляции дверной перемычки не так актуальна, поскольку во многих домах входная дверь ведет не сразу на улицу, а на веранду. Если утепление дверной перемычки все же необходимо, то используйте технологии, что описаны ранее, поскольку по своей конструкции дверные и оконные перемычки ничем не отличаются.
Многие владельцы частных домов, где входные двери ведут сразу на улицу, сталкиваются с проблемой появления конденсата на откосах и дверном полотне зимой. В этом случае теплоизоляция перемычки над дверью не поможет. Добиться исчезновения сырости и влаги на входной двери поможет лишь качественное утепление веранды или крыльца в частном доме. Лучше всего, чтобы пристрой еще и отапливался.
Как утеплить перемычку над гаражом
Утепление бетонной перемычки лучше всего производить на этапе ее заливки или укладки. При заливке перемычки в опалубку укладываются плиты пенопласта соответствующего размера. Одна плита укладывается снаружи, вторая должна делить перемычку на две половины (смотри фото). Следуя этим советам, вы сможете своими силами добиться снижения расходов на отопление дома или гаража.
(4,00 из 5)
Как утеплить перемычки над окнами своими руками
Но бетонные перемычки обладают слишком низкой теплоизоляцией. Вся такая балка представляет собой сплошной «мостик холода», из-за которого теплопотери помещения заметно увеличиваются. Если владелец хочет снизить затраты на отопление, перемычки над окнами ему придется тщательно утеплять.
Обычно такое мероприятие проводится снаружи, поскольку при внутреннем утеплении появляется опасность возникновения конденсата и, как следствие, грибка под утеплителем. Но и вариант с внутренней теплоизоляцией тоже возможен.
1. Как утеплить оконные перемычки снаружи
Дешевле всего обойдется утепление при помощи пенопласта. Подобные работы могут быть выполнены за 3 этапа. Сначала подготавливается основание, по которому укладывается теплоизолятор, а затем выполняется финишная отделка при помощи штукатурки или иных материалов.
На первом этапе перемычка и области рядом с ней избавляются от загрязнений. Если обнаруживаются внушительные щели, в них помещается монтажная пена. Небольшие трещины удастся устранить с помощью клея уже при закреплении утеплителя. В роли самого теплоизоляционного материала могут выступить пенопласт или пеноплекс. Второй считается более практичным теплоизолятором.
Плита утеплитель обрезается таким образом, чтобы ее размеров было достаточно для закрепления на перемычку. Но при этом желательно захватить еще и окружающее пространство. Сначала теплоизоляционный материал приклеивается к поверхности, после чего в нем выполняется отверстие, в которое помещается дюбель. Остающиеся швы закрываются клеем или запениваются.
Когда клей высохнет, утеплитель нужно защитить от осадков и ультрафиолета. Поэтому его покрывают декоративной штукатуркой. Она позволит дополнительно украсить оконный проем и выступит в качестве своеобразного наличника. Вместо штукатурки иногда используют панели ПВХ и прочие материалы.
2. Как утеплить оконную перемычку изнутри
В большинстве случаев потребность в дополнительной теплоизоляции перемычек из бетона возникает в домах из кирпича и газобетона. При внутреннем утеплении могут возникнуть некоторые сложности. Например, из-за смещения точки росы под утеплитель станет попадать конденсат. Поэтому к внутренней теплоизоляции прибегают нечасто. Если владелец все-таки решил ее выполнить, ему можно выбрать пеноплекс или минеральную вату. Вторую при работах дополнительно нужно защищать от влаги, используя для этого гидроизоляционную пленку.
Как утеплить перемычки над дверью
Подобная работа не всегда оказывается актуальной, поскольку во многих домах входная дверь ведет на веранду или крытое крыльцо. Но если потребность в утеплении дверной перемычки возникает, используют те же самые методы, что были описаны выше. Также подобные мероприятия нужны, если речь идет об обустройстве квартиры.
Ошибки при утеплении пластиковых окон
Зачастую владельцы не могут выбрать подходящую толщину пены, которая находится между оконным проемом и рамой. Отсутствие пены или наличие ее слоя толщиной более 5 см недопустимы. Но намного важнее, чтобы пена была не просто прикрыта наличниками, а еще и защищена утеплителем.
Раму от утеплителя можно хорошо отделить с помощью гибких прокладок. Благодаря слою герметика получится снизить риск возникновения щелей впоследствии. Кроме того, желательно изначально устанавливать окна с многокамерными стеклопакетами, поскольку однокамерные не обеспечивают достаточной теплоизоляции.
Следуя этим советам, любой владелец добьется качественного утепления оконной перемычки. Благодаря правильно выполненным мероприятиям удастся получить прекрасный эффект и обеспечить экономию теплоносителя
Поэтому подобным вопросам необходимо уделять достаточное внимание
Главной задачей оконных систем является защита от погодных условий, сохранение тепла в доме. От правильной установки окон зависит безопасность и долговечность.

Так как газобетон очень легко пилится, то с помощью специального уголка можно легко получить идеально ровный оконный проем.
Газобетонные кладки над окном испытывают большую нагрузку не только во время строительства здания, но и в течение дальнейшей эксплуатации.
Для чего используют?
Кладки над проемами разного типа испытывают сильное давление не только в период возведения строения, но и во время последующей эксплуатации. Обычно, чтобы равномерно распределить нагрузки на дверные либо другие проемы, выполняется установка арматурных прутьев посредством штробореза, но только так, чтобы прут вошел в паз. Последний наполняют смесью, а внутрь паза кладут прут, но таким образом, чтобы его конец торчал не более чем на 30 сантиметров.
Деревянные коробы для дверей и других видов проема газобетонных зданий делают без пазов. После того как были изготовлены бруски необходимых размеров, пазы откладывают, также как и четверти. На окончаниях бруса делают отверстия по форме шипов. Потом все это собирают в короб. Довольно часто брус внизу делают цельным, без отверстий.
Процесс строения дверей во многом подвластен применяемым перемычкам. Если необходимо применение коробов для необычных проемов, то их размещают в проем и закрепляют при помощи болтов либо гвоздей. Швы короба обрабатывают либо пеной, либо минеральной ватой. Монтаж изделий над дверными либо оконными проемами – это довольно сложный процесс, который обязывает быть внимательным, собранным. Также немаловажным является соблюдение всех тонкостей технологического процесса.
Как утеплить перемычки над окнами своими руками?
Проблема низкой теплоизоляции бетонных перемычек над окнами и входными дверьми часто встречается в кирпичных домах, где перемычки используются для усиления оконного или дверного проема. Бетонная балка (перемычка над окном) – это тоже «мостик холода», который увеличивает теплопотери помещений. Чтобы сэкономить на отоплении, необходимо утеплить снаружи перемычки над окнами своими руками.
Но, как утеплить перемычки окон своими руками, – спросите вы. Утеплить бетонный элемент можно снаружи при помощи пенопласта или пеноплекса, а также сопутствующих отделочных материалов, либо утеплить перемычки окон изнутри – путем возведения декоративного гипсокартонного короба над окном для карниза.
Утепление перемычек с улицы более эффективно, поскольку вы защищаете от холода всю перемычку. При утеплении перемычки изнутри весь бетон промерзает и может появиться грибок между слоем утеплителя и перемычкой из бетона.
Как утеплить перемычку над окном снаружи
Как утеплить перемычки над окнами
Самый недорогой способ – это утеплить перемычку над окном пенопластом. Работа сводится к трем основным этапам: подготовка основания, монтаж утеплителя и отделка пенопласта фасадной штукатуркой или другими материалами.
Первым делом необходимо очистить поверхность от пыли, грязи и прочих конструкциях, которые могут помешать монтажу утеплителя. Если есть большие щели в кладке, то их следует пропенить. Мелкие трещины и сколы можно заделать клеем, на который вы будете приклеивать пенопласт. Конечно, лучше использовать при утеплении перемычки над окном пеноплекс, поскольку этот материал более прочный.
Далее вам необходимо вырезать из плит утеплителя нужно размера элементы и приклеить их на бетонную перемычку и вокруг всего окна (если вы решили тщательно все утеплить) при помощи клея и, просверлив сквозное отверстие через утеплитель в стене забить дюбель с грибком. Процедура схожа с утеплением фасада пенопластом. Все швы необходимо тщательно замазать клеем или пропенить монтажной пеной.
После высыхания клея утеплитель следует защитить от атмосферных осадков и солнечного света. Для этого можно использовать декоративную штукатурку. Таким образом, у вас получатся своего рода наличники на окнах. Также можно использовать и панели ПВХ или другие способы отделки утеплителя.
Как утеплить перемычку над окном изнутри
Проблема теплоизоляции бетонных перемычек часто встречается в кирпичных и газобетонных домах, где конструкция используется для усиления дверных и оконных проемов. Бетонная балка над окном – это тоже «мостик холода», который значительно увеличивает теплопотери. Утеплить перемычку над окном своими руками изнутри можно, используя пеноплекс или другой утеплитель.
Как рассчитывается размер проема?
Размер проема и опирание перемычек рассчитывается в индивидуальном порядке в зависимости от вида используемых для строительства здания материалов, которые могут выдержать лишь определенную нагрузку. Необходимо учитывать:
- Вес деталей перемычки, а также собранной целиком конструкции в целом.
- Вес будущей стены, возводимой над оконной выемкой.
- Как именно будет распределяться вес стенной поверхности над проемом (в случае, если производится летняя кладка, то достаточно использовать в расчетах вес 1/3 верхней части стены; если же зимняя – то приходится учитывать нагрузку, оказываемую всей стеной).
- Нагрузку, оказываемую плитами перекрытия, а также балками.
Также существуют следующие формулы для измерения основных параметров будущей перемычки:
- величина нагрузки = удельный вес используемого материала * значение ширины проема * значение толщины кладки в проеме * высоту стены над перемычкой;
- прочность = сопротивление основного материала * сопротивление отдельно взятой детали * коэффициент 1,12.
Желательно воспользоваться помощью профессионалов для определения правильного размера проемов, чтобы в процессе будущего строительства не случилось непредвиденных ситуаций вроде обрушения материалов.
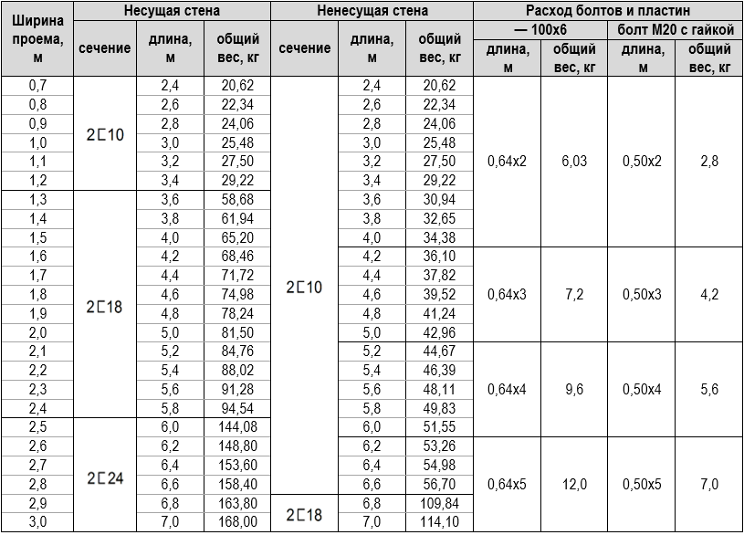
Программа подбора перемычек в кирпичных стенах
Согласно требованиям действующих норм, при устройстве в существующей каменной стене нового проема шириной более 600 мм над ним должна быть установлена перемычка, тип и конструкция которой назначаются в рамках индивидуально разработанного проектного решения.
Самым распространенным способом усиления проемов в каменных стенах является устройство металлической перемычки, состоящих из двух прокатных швеллеров, которые устанавливаются над проемом (с двух сторон, в заранее подготовленные борозды) и соединяются между собой при помощи анкерных шпилек с затянутыми гайками на концах. Данный способ усиления реализуется по типовому конструктивному решению, принципиальные схемы которого приведены на Рис. 2, 3.
При разработке проекта усиления пробиваемого или расширяемого проемов значительная часть рабочего времени конструктора уходит на выполнение простых, но достаточно трудоемких расчетно-вычислительных операций, связанных с подбором оптимального сечения несущих металлических балок проектируемой перемычки (выполнение расчетов по I и II группам предельных состояний).
Представленные ниже таблицы позволяют значительно упростить и ускорить процесс конструирования металлических перемычек, а также минимизировать возможность появления ошибок, которых так сложно избежать при выполнении расчетов вручную.
Методика подбора перемычек по таблицам
Перед тем, как начать пользоваться приведенными ниже таблицами необходимо определить тип проектируемой перемычки в зависимости от характера ее статической работы и схемы нагружения. По данному классификационному признаку все перемычки, устраиваемые в каменных стенах, можно разделить на две большие группы: несущие и ненесущие.
Несущие перемычки воспринимают два вида эксплуатационных нагрузок: давление от веса кирпичной кладки, расположенной над усиляемым проемом, и нагрузку от междуэтажных перекрытий. Ненесущие перемычки воспринимают только вес вышележащей кладки стен. Чтобы определить к какому из двух типов относится проектируемая перемычка достаточно взглянуть на Рис.1.

Рис.1. Схемы несущей и ненесущей перемычек в кирпичных стенах Таким образом, нагрузка на перемычки от перекрытий не учитывается, если они расположены выше квадрата кладки со стороной, равной пролету перемычки.
Подбор несущих элементов металлических перемычек (швеллеров) производится в соответствии со схемами, представленными на Рис.2-4, по двум известным параметрам: ширине проектируемого проема (B) и толщине стены.

Рис.2. Схема устройства металлический перемычки при ширине проема менее 2 м

Рис.3. Схема устройства металлический перемычки при ширине проема более 2 м

Рис.4. Поперечный разрез 1-1 (к схемам на Рис.2,3)Таблицы подбора металлических перемычек
(для увеличения изображения кликните по нему)
Таблица 1. Подбор перемычек для стен толщиной 250 мм

Таблица 2. Подбор перемычек для стен толщиной 380 мм
Таблица 3. Подбор перемычек для стен толщиной 510 мм

Таблица 4. Подбор перемычек для стен толщиной 640 мм

Металлические элементы перемычек (прокатные балки) рассчитаны на восприятие давления от вышележащих стен, величина которого эквивалентна весу столба кладки высотой, равной 1/3 пролета перемычки. Несущие перемычки, кроме того, рассчитаны еще и на равномерно-распределенную погонную нагрузку от перекрытий величиной q=4,4 т/пог.м. Для несущих перемычек, устраиваемых в стенах толщиной 250 мм (кладка в 1 кирпич), расчетная погонная нагрузка от перекрытий принята равной q=2,2 т/пог.м.
Для проемов шириной более 3 м и нагрузках, отличающихся от указанных выше, сечение элементов перемычек принимать по расчету.
Устройство перемычек в каменных зданиях
Самый простой способ оформить верхнюю часть проёма — избежать использования перемычки, увеличивая высоту окна вплоть до самого армопояса. Это не всегда возможно, ведь длина пролёта накладывает свои ограничения, особенно для несущих стен, к тому же двери под самый потолок вывести невозможно. И всё же вы должны знать, что между проёмом и армированным венцом должно быть по меньшей мере два ряда крупноформатных блоков, либо 5–7 рядов кирпича, либо не должно быть ничего.

Наиболее просто устроить верхнюю часть проёма в стенах, на которые перекрытия не опираются. Если высота кладки над проёмом не соответствует требованиям самостоятельной поддержки, верхние ряды укрепляют армированием. Между каждым кирпичом накрывающего проём ряда закладывают «скрепки» — хомуты из 4 мм проволоки, которые выступают над рядом кладки, образуя своего рода ушки. Под них заводят и привязывают продольную арматуру, по одному 10 мм стержню на каждые 10 см толщины стены, напуская 15–20 см на целики по бокам проёма.

Укрепить проём в несущих стенах из полнотелых блоков лёгкого бетона ещё проще. Кладка над проёмом выводится по временной подпорке снизу. После этого по центру блоков над проёмом нарезается паз глубиной до 20 см и толщиной 25–30 мм. Внутрь вставляется плоская армировка — сетка из 12 мм арматуры, а после паз заполняется пескобетоном. Если понятно, что такое укрепление не соответствует прочностным требованиям, используют U-образные лотки из пористого бетона на манер несъёмной опалубки.

Перемычки из железобетона — это очень существенные мостики холода. Их применение требуется лишь в исключительных случаях, когда в несущей стене планируется очень широкий проём. Отливают такие перемычки заподлицо со стеной, подбивая щитовую опалубку изнутри, снаружи и снизу. Армируют перемычки в два ряда, по одному 12 мм стержню на каждые 60–80 мм толщины стены. В зависимости от длины пролёта, в нижний ряд армирования могут быть добавлены еще 2–3 прутка арматуры. Чтобы исключить миграцию тепла, по центру опалубки устанавливают пару плит ЭППС общей толщиной 50–70 мм, при этом арматура распределяется с получением защитных слоёв по 40 мм.

При установке перемычек любого типа важно уметь правильно подготовить «плечи», на которые они опираются. Как правило, для этого используют древесину, полнотелый кирпич или цементный раствор марки 300
Виды перемычек для стен из газобетонных блоков
В зависимости от поставленных задач, в строительстве могут быть использованы следующие виды перемычек.
Из армированного газобетона
Применяются при возведении зданий из ячеисто-бетонных блоков. Зачастую используют их для перекрытия несущих стен жилых и общественных строений до четырех этажей. Оснащение проемов коробки газобетонными перемычками в несущих стенах целесообразно для домов, высота которых не превышает 17 метров. Преимущества использования газобетонных балок заключаются в следующем:
- высокая скорость производства работ;
- небольшая масса;
- четкая и ровная поверхность, которую возможно декорировать краской или тонкослойной штукатуркой;
- отсутствие «холодных зон».
Недостатком этих изделий считается высокая цена, однако она компенсируется другими плюсами.
Железобетонные
Изготавливаются из стальных прутьев и тяжелого раствора бетона. Такие приспособления обладают широким спектром применения. Используют их в строительстве для перекрытий, а также в качестве опорных конструкций. Главным плюсом является их доступность и низкая цена. К недостаткам железобетонных перемычек для газоблоков можно отнести высокую теплопроводность и существенную массу.
Деревянные
Такие дополнительные приспособления используют при строительстве домов из кирпича, дерева или ячеистого бетонного материала. Главным требованиям к зданиям, при монтаже деревянных перемычек, является наличие потолков с деревянным перекрытием. Используемый материал предварительно тщательно просушивается и обрабатывается антисептиком. Достоинством деревянных перемычек над окнами в доме из газобетона является возможность соорудить их своими руками. Также, нельзя не отметить их теплосохраняющие свойства, низкую стоимость, малый вес. При влиянии внешних факторов, они, к сожалению, деформируются и загнивают. Подверженность внешним воздействиям и небольшой срок службы, в сравнении с другими разновидностями перекладин, являются их основными минусами.
Металлические профили
Обладают отличными несущими характеристиками, однако применение их не всегда оправдано. Дело в том, что они предрасположены к коррозии метала. Да, и теплопроводимость у таких изделий весьма высока, поэтому возникает необходимость дополнительного утепления. Впрочем, перед тем как сделать стальные перемычки над окнами в доме из газобетона, следует учесть некоторые нюансы:
- перед укладкой желательно со всех сторон покрыть уголки краской;
- для фиксации профили скрепляют проволочной стяжкой или сваркой;
- уголки не выступают из стены, их монтируют в газобетон;
- перед монтажом уголки оборачивают штукатурной сеткой для обеспечения адгезии со штукатуркой.
Из монолитного бетона
Данный способ создания бетонной перемычки на газобетон является самым дешевым, однако требует немало хлопот. В результате, получается довольно крепкая конструкция, выдерживающая большие нагрузки. К недостаткам можно причислить тот факт, что после ее монтажа, теряется однородность поверхности стены, что обнаруживается при нанесении тонкого слоя штукатурки. До начала работ по устройству монолитной балки, требуется соорудить съемную опалубку из фанеры, досок или другого аналогичного материала.
Мостики холода: что это такое
Железобетонные перемычки принимают на себя нагрузки от несущих конструкций и усиливают общую прочность зданий. Перемычки бывают брусковые и плоские по форме, а по конструкции: простые или усиленные арматурой. Но все они являются проводниками холода с улицы, поскольку выполнены из металлической арматуры и бетона. Эти материалы многим уступают по теплопроводности и являются мостиком холода.
Тепло из помещений выходит через все конструкции и поверхности: кровлю, пол, наружные стены и оконные проемы. И чем лучше вы утеплите отмостку фундамента и другие конструкции, тем меньше будет потерь тепла в зимний период. Это правило касается и бетонных перемычек над входными дверями и окнами, поскольку они являются «мостиками холода» – элементами, где происходит сильная потеря тепла.
Порядок работ

Установка и конструкция перемычки
Для того чтобы при заливке перемычки никуда не отошел деревянный щит, его можно прикрутить проволокой к кладочной сетке, если здание изготавливается их кирпича.
- Перемычки для оконных проемов должны быть утепленными. Закладывать утеплитель лучше сразу, в противном случае окна могут начать промерзать. Для этой цели можно использовать минеральную вату, стекловату или другой утеплитель, не боящийся окружающей среды и не способный воспламениться.
- После этого полученную конструкцию можно заливать бетоном. Ей потребуется дать высохнуть: на это обычно требуется несколько суток. После того как опалубка будет снята, а перемычка готова, можно продолжать строительство.
Окна с перемычками, утепленные минеральной ватой, могут иметь проблему: вата остается свисать сверху, поэтому при установке пластикового окна пена не может качественно сцепиться с верхней частью конструкции.
Купили новые пластиковые окна? Как удалить защитную пленку с новых пластиковых окон, не повредив их, читайте на нашем сайте.





































